Geri Dön
Arama Yap
444 38 15
0533 153 95 95
MUSTAFAKEMALPAŞA REHBERİ
WEB.TV
ANASAYFA
BAŞKAN
KURUMSAL
Belediyemiz
Meclis
Encümen
HİZMETLERİMİZ
Kültür Sanat Hizmetleri
Çevre Hizmetleri ve Kampanyaları
Veterinerlik Hizmetleri
Gençlik Spor Hizmetleri
Spor Tesisleri
Sosyal Tesisler
Sosyal Hizmetler
Nikah Hizmetleri
Erişilebilir Belediyecilik
Online İşlemler
PROJELER
Tamamlanan Projeler
Devam Eden Projeler
GÜNCEL
Haberler
Duyurular
Etkinlikler
İhaleler
Foto Galeri
Video Galeri
MUSTAFAKEMALPAŞA
Mustafakemalpaşa'yı Keşfedin
Vefat Edenler
E-DERGİ
İLETİŞİM
Başkanlık İletişim
Birimler İletişim
Formlar ve Dökümanlar
ANASAYFA
BAŞKAN
BELEDİYEMİZ
Belediyemiz
Meclis
Encümen
GÜNCEL
Haberler
Duyurular
Etkinlikler
İhaleler
Foto Galeri
Video Galeri
HİZMETLERİMİZ
Kültür Sanat Hizmetleri
Çevre Hizmetleri ve Kampanyaları
Veterinerlik Hizmetleri
Gençlik Spor Hizmetleri
Spor Tesisleri
Sosyal Tesisler
Sosyal Hizmetler
Nikah Hizmetleri
Erişilebilir Belediyecilik
Online İşlemler
PROJELER
Tamamlanan Projeler
Devam Eden Projeler
MUSTAFAKEMALPAŞA
Başkanlık İletişim
Birimler İletişim
Formlar ve Dökümanlar
E-DERGİ
MUSTAFAKEMALPAŞA
Mustafakemalpaşa'yı Keşfedin
Vefat Edenler
Haber
Proje
Duyuru
İhale
Ara
Anasayfa >
Duyurular >
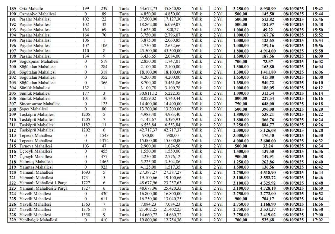
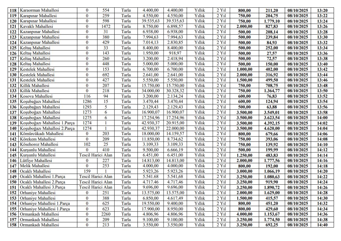
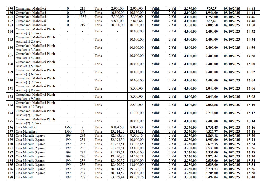
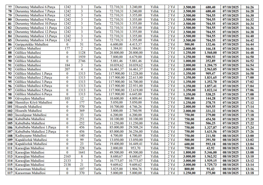
MUSTAFAKEMALPAŞA BELEDİYE BAŞKANLIĞI Emlak ve İstimlak Müdürlüğü 07/10/2025 - 08/10/2025 Tarihli Kiralama İhalesi
< Geri Dön
MUSTAFAKEMALPAŞA BELEDİYE BAŞKANLIĞI Emlak ve İstimlak Müdürlüğü 07/10/2025 - 08/10/2025 Tarihli Kiralama İhalesi
07-10-2025
Duyuruya Ait Dökümanlar
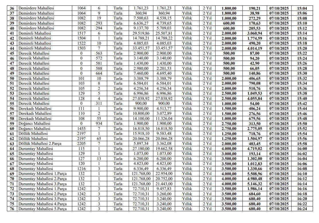
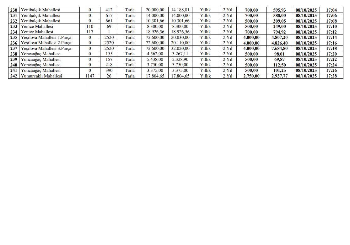
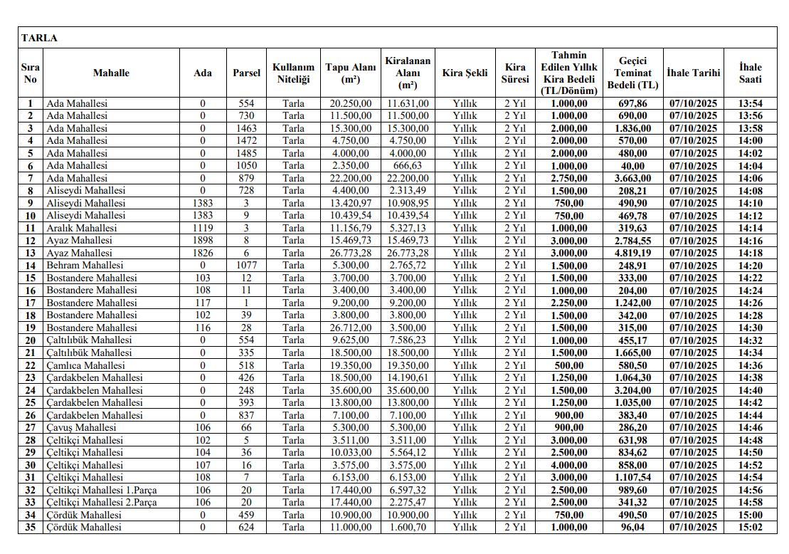
07/10/2025 - 08/10/2025 Tarihli Kiralama İhalesi
Diğer Duyurular
Son eklenen duyuruları görüntüleyin.
T.C. MUSTAFAKEMALPAŞA BELEDİYE BAŞKANLIĞI İmar ve Şehircilik Müdürlüğü Metruk Bina İlanı
01-01-1970
Birlikte Paylaşalım , Birlikte Büyüyelim..
01-01-1970